World Prematurity Day – A Journey Through Time

World Prematurity Day – A Journey Through Time

Premature birth has always been a challenge, but the past few decades have seen revolutionary advances in neonatal care. On this World Prematurity DayNovember 17th, I wanted to reflect on how far we have come in the last few decades. If you are a parent on your journey through the NICU and struggling with the day to day ups and downs you may find this journey enlightening. Let’s take a look at both a personal journey, the broader neonatal landscape and how things changed Nationally and even locally over time. Stay with me and I think you will be amazed at just how far we’ve come.

Much like Dr. Suess’s book I wonder if the people that came before me ever envisioned the places we would go!


1974: My personal preterm story

In the 1970s, neonatal care faced significant limitations. For preterm babies, respiratory distress syndrome (RDS) was a leading cause of death. Without adequate treatment for underdeveloped lungs, survival was uncertain, especially for extremely premature infants. We had ventilators of course but with lungs that were immature the risk of air leaks called pneumothoraces was high. Being premature was a very risk proposition.My own family was affected by this as my siblings were born at 34 weeks gestation and my brother had respiratory distress syndrome. In 2024 a baby at 34 weeks with RDS would not cause anyone to worry as we are well equipped with fancy ventilators and most of all surfactant which quickly helps to open up lungs that are “stuck” together. This wasn’t available in those days and it’s hard to believe that just 50 years ago my parents were faced with the knowledge that their son had a 50% chance of survival. He did make it through but survival in the interim has crept up to well over 99%. On this front we have done “real good”.


1980: Preemie treated with surfactant!

We knew sine the 1960s that surfactant deficiency was the cause of hyaline membrane disease or RDS as it is also known. If you weren’t aware of it, let me tell you , that we in medicine are a cautious bunch. It took almost two decades for the first produced surfactant to be given to a preterm baby. This monumental event which really changed Neonatology occurred in 1980. Fujiwara and colleagues reported a landmark paper Artificial surfactant therapy in hyaline-membrane disease which demonstrated that in ten infants given exogenous surfactant their oxygen needs declined quickly along with support needed on the ventilator. It would take another ten years before the FDA in the United States would approved exogenous surfactant use broadly for preterm infants. What can I say? I told you we are a cautious bunch!. This widespread adoption of surfactant was a landmark change in practice that singlehandedly marked a dramatic shift in the chances of survival for preterm infants.


1998: My Journey Begins – 28 Weeks is Thrilling!

By 1998I entered the field of neonatal care as a Pediatric resident. I witnessed firsthand the thrill of saving lives once considered impossible to rescue. While many centres are now offering resuscitation at 22 or 23 weeks gestation it is hard to believe that babies born at 27 – 28 weeks were considered high risk at this point. In 2024 a baby born at such an age is considered a bigger preemie compared to those at 27 and 28 weeks which I suppose has a lot to do with perspective! Nonetheless, the past 26 years have seen our expectations for survival and importantly survival without morbidities increase dramatically for those born at 26 – 28 weeks for sure.


2015: Challenging the Threshold of Prematurity to 23 Weeks

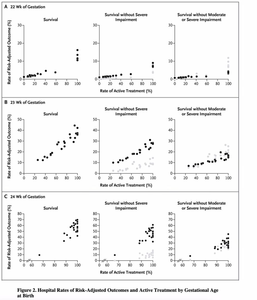
Fast forward to 2015, and the threshold of viability was pushed even further. Babies born at 23 weeks gestation in our centre had traditionally been considered too small to survive. Prior to 2015 we would seldom see a baby born at this gestational age resuscitated. It was apparent though when taking the temperature of the room so to speak in North America that the tide was turning and resuscitation was being offered. An important paper in this regard that gave everyone in neonatal care some pause to reflect was the paper Between-hospital variation in treatment and outcomes in extremely preterm infants by M Rysavy et al. The paper demonstrated variability in outcomes at the edge of viability around 22 to 23 weeks but really enlightened many by showing that not only were some hospitals resuscitating infants at these ages but they could actually do reasonably well enough.

The scatterplots are taken from the same paper and demonstrated a lot of variation in outcomes between 24 hospitals. Some did not have great outcomes while others did. The data begged for Neonatologists to ask a critical question. What are some centres doing to achieve such incredible results and secondly if results can be so good, should we continue our patriarchal ways and decide for families what we are and are not prepared to do or should families be central to the decision?


2017: A Shift Toward Shared Decision-Making

The Canadian Pediatric Society was under pressure between 20015 – 2017 to change the recommendations for periviable births. The statement from the CPS was quite prescriptive in its approach to offering resuscitation with fairly rigid goal posts at 23 weeks for consideration of resuscitation and language which insisted resuscitation should or should not be offered at a given gestational age.

In 2017, neonatal care saw a significant shift in approach, emphasizing shared decision-making between medical teams and families. The CPS statement was revised to reflect carefor extremely preterm infants that became more personalized, with parents playing an active role in decisions about their baby’s care. This collaborative approach fostered trust, empowered families, and ensured that care aligned with their values and goals. The current statement Counselling and management for anticipated extremely preterm birth included the following recommendation:

“When both early intensive care and palliative care are considered to be equal care options, the management plan should be decided upon after engaging in a SDM process with parents. The SDM process should be ongoing as the pregnancy continues”

Shared decision making or SDM became front and centre in this statement and continues to be the standard for discussions with families today. In the event of equipoise and uncertainty it should be the family that ultimately decides based on their beliefs and values whether one tries to resuscitate or not. After birth the extent to which we continue care needs to centre around the family as well.


2023: Redefining Viability at 22 Weeks

In 2023, the line between impossible and possible was redrawn yet again. Advances in neonatal technology and medical expertise made it feasible to care for babies born at just 22 weeks gestation in our centre and elsewhere. We were a little later to the game so to speak as other centres had already been doing so but we arrived. Publications from Sweden and Japan were growing and demonstrating that not only was survival possible at this gestational age but that survival without significant disability was a real possibility. In Japan for example a publication last year Management and outcomes of periviable neonates born at 22 weeks of gestation: a single-center experience in Japan found a survival rate of 83% at 22 weeks gestation. There remain questions about whether populations in Sweden and Japan are perhaps different from other areas of the world but at the end of the day both countries forced all of us Neonatologists to question what was impossible and possible. No doubt the next decade will see refinements that don’t just focus on survival but optimizing outcomes as well!


2024: Breastfeeding and Kangaroo Care Take Center Stage

Looking to 2024, we have seen a focus on the benefits of breastfeeding and skin to skin or kangaroo care.

Breastfeeding and kangaroo care (skin-to-skin contact) have emerged as vital components of neonatal care, offering powerful benefits for both babies and their families. These practices not only promote bonding but also improve immune function, growth, and neurological outcomes for preemies. Looking at the sections that preceded this one you no doubt can see the importance of research and technological development in the care of these babies. We certainly could not have achieved levels of survival without disability without advances in our understanding of ventilators, ultrasound to assess organs and the hemodynamics system and more.

What is astounding to me though is that the focus has shifted back to the basics. Breast milk, love and caring. Increasing rates of breast milk consumption by preterm infants have been linked to reductions in sepsis and chronic lung disease to name just a couple of benefits. Skin to skin care has led to reduction in oxygen need, apneas and bradycardia and more. Technology is amazing but more and more we are getting back to the basics which once again centres around the family unit.


The Future: Hope and Innovation

The story of neonatal care is one of hope, perseverance, and constant innovation. From the early days of battling RDS to redefining viability and promoting family-centered care, every milestone represents a step closer to ensuring that every baby, no matter how small, gets the best possible start in life.

As we honor World Prematurity Day, let us celebrate the progress we’ve made and continue working toward a future where preterm birth no longer carries the same risks. Together, we can ensure that every baby—no matter how tiny—is given the chance to thrive.

Here’s to the tiny warriors and the big-hearted teams who fight for them every day.

Endotracheal and IV epinephrine go head to head

Endotracheal and IV epinephrine go head to head

For some time the Neonatal Resuscitation Program has recommended IV epinephrine preferentially over the endotracheal route. I have written about epinephrine twice before with the last one being Is epinephrine via the ETT really so bad? Previous studies looking at epinephrine has really asked the question “How likely am I to get return of spontaneous circulation (ROSC) if I give endotracheal epinephrine and follow this with IV epinephrine?” This really doesn’t address the question on which the recommendation for IV epinephrine has been made which is if you actually give the first dose of epinephrine IV to you get a a faster ROSC.

Why might one better than the other?

It probably makes sense to start here. In a patient with poor cardiac output or asystole, injecting epinephrine into the heart via the intravascular route (at birth through a UVC most likely) leads to deposition of the drug within the heart. With cardiac compressions blood passes through the right ventricle to the lung and then back to the left side with eventual passage of blood containing epinephrine to the coronary arteries. Epinephrine then can stimulate the heart to begin pumping or with more vigour leading to increased carotid blood flow which is the all important need for perfusing the brain. In the case of endotracheal epinephrine one is relying on the absorption of the drug from the alveolar capillary interface and for this to be effective, ideally the whole dose of the drug provided would need to be distributed to the terminal airways. If you don’t have great blood flow in the case of asystole and compressions are not effective it stands to reason that there are multiple reasons why the drug might not get to the coronaries in the same way as if given directly into the venous return to the heart.

Let’s go head to head

It should come as no surprise that given the push to give the first dose IV there would over time be a shift to having a large enough sample to look at a direct comparison vs looking at IV AFTER ETT. There will of course still be those that give the fist dose via ETT as it really is just much easier. As you move through the steps of NRP you reach placement of the ETT faster than placement of a UVC and having been there it really is tempting since you have the option to give the first dose via the ETT. Remember the speed with which you can give the first dose as that will come up again later in this piece.

Halling et al published Use of Initial Endotracheal Versus Intravenous Epinephrine During Neonatal Cardiopulmonary Resuscitation in the Delivery Room: Review of a National Database. The article is as described wherein the authors examined in a retrospective fashion the responses to a first dose via IV vs ETT to see how they differ. Their sample size was fairly decent for a neonatal study. Their group under study were taken from a larger pool of 1288 patients who had received chest compressions. Of those 538 had both chest compressions and epinephrine and after excluding 130 for various reasons this left 408 patients for study. The newly born infants were on average about 31-32 weeks gestational age and about 55% in both groups were under 34 weeks at birth. There were 281 patients with an initial dose via the ETT and 127 with dosing first via the IV route. Looking at Table II from the study reveals some surprising findings.

Those who received their first dose via the endotracheal route had a statistically higher chance of having ROSC at 70.11% vs 58.27%. Additional doses to achieve ROSC could have been again via the ETT or IV and in the Initial ETT group, of the 281 patients, 169 received only ETT epinephrine of whom 132 had ROSC while 113 received IV epinephrine after ETT of which 65 achieved ROSC. If you look at secondary outcomes the chance of ROSC after only the first dose was also equal in both groups at 34.16 and 36.22% with a trend towards greater survival with an initial dose of ETT epinephrine. This would seem to fly in the face of prior studies would it not? Are the drugs equally efficacious or is something else going on here?

I believe the difference in outcomes relates to the final line in the above table. Patients who were given ETT epinephrine as the first dose had a median time to first dose of 2 minutes shorter. As I mentioned above the placement of the ETT comes before UVC placement in the stepwise progression of NRP so you just have an opportunity to get the epinephrine in faster. As shown in the next figure, the relationship between timing of dosing and ROSC can be seen.

Final Thoughts

There isn’t anything wrong with giving IV epinephrine but the question is can you really give it at the same time as you would through the ETT? If a myocardium is stunned from hypoxia and is either beating very slowly or asystolic it may be that the extra two minutes of inadequate perfusion matters in terms of getting the heart muscle to respond. I suspect this is the reason why if you compare ETT vs IV dosing and look at the response to a first dose to achieve ROSC there is no difference. I could argue that the IV dose is actually superior as it can achieve the same chance of ROSC after one dose even if given two minutes later. If you look at the overall effect though of starting with an earlier dose via ETT your chances of successful resuscitation and survival may be better if you start with the ETT. The purists out there will no doubt point out that the trial here is retrospective so it is possible that there are factors that have not been taken into account that are unbalanced between groups. My counter to that however is that this may be the near best evidence we will get. I am not sure if a true RCT will ever be done as it would be very difficult I suspect for practitioners to follow NRP and delay giving epinephrine via the ETT when it is right there and a patient is doing quite poorly. There would be some of course who would but I could see many breaches in protocol from nervous team members.

I think what the study really says is that if you choose to start with ETT epinephrine it doesn’t preclude you from trying to place a UVC quickly following the first dose and following up with an IV dose. This sort of research is quite reassuring to those who still give the first dose via the ETT but doesn’t negate efforts that should be made to establish IV access in those most severely compromised.

Don’t Document Patient Encounters At Your Peril.

Don’t Document Patient Encounters At Your Peril.

As a health care provider, I am pulled in many different directions when caring for babies in the intensive care unit. Our front line staff doing the day to day or moment to moment care and procedures are often pulled to an even greater degree and need to make choices continually as to priorities for care. As the saying goes there are only 24 hours in a day or in this case a call shift although many institutions have shortened shifts to more humane 8, 10 or 12 hour days. When you are faced with so many different calls for assistance it does leave one in a predicament as to how all of the work will get done.

A Baby With Hypoglycemia

When it comes to hypoglycemia it is a common problem in those at risk. As per the Canadian Pediatric Society statement “Some 12% to 14% of well, AGA, breastfed newborns have a blood glucose level of <2.6 mmol/L in the first 72 hours after birth”. Add to this infants who are IUGR or SGA and you have the potential to see this again and again if you work in our field. Fortunately, most infants have one or two low blood sugars and then normalize but certainly not all. I recall a situation in which a physician had a terrible night on call. When I say they were busy it was the understatement of the century. They were managing multiple sick patients overnight and fielding several calls overnight about a baby who was well aside from a pesky problem of repeated episodes of hypoglycemia. When I arrived in the morning and was reviewing the charts of the patients I noted something both peculiar and concerning. The babies with complicated and high acuity care had ample documentation of the night’s events but the baby with low blood sugars had no notes at all. Now based on my conversation with the physician it sounded like he managed the patient extremely well and followed our guidelines but there was nothing to document that this had been done. All told there were 5 or 6 low blood glucoses overnight. Before leaving for his shift, I called him and insisted he return to document what happened with the “straightforward” baby with hypoglycemia. As per the title of this post my concern was that to not document was at his peril!

Litigation Risk

If most physicians are being honest, the knowledge that we could one day face litigation for something we did or didn’t do is something that is in the back of our minds. In Canada, after a personal injury there is a general limitation of 2 years to file a statement of claim for a personal injury. In the case of a newborn this means that after a period of persistent hypoglycemia a family has up to two years to file a claim. Imagine for a moment that after hundreds of patients later you were asked at a year out for the details of that one “innocuous” baby with low blood sugars. Would you remember? I doubt it. Now of course there would need to be an injury such as cerebral palsy, developmental delay or seizure disorder to sue. This is one reason why the story gets even more challenging in the medicolegal space. Since one needs to have injury to incur compensation you may not hear about a lawsuit until the former newborn is well into their mid to late teens. In terms of determining the true impact on a child’s life, questions about school performance and ability to live independently won’t be known for many years. So let’s ask the question again. What would you remember about a baby with hypoglycemia and your thoughts about them 15 years after the fact and 1000s of patients later. Not much if anything. Now you could perhaps fall back on the nursing records but they too might be faulty or if you actually deviated from the protocol in your unit even slightly you would have nothing to fall back on to jog your memory.

Why Don’t We Document?

We know we should but here are some reasons it doesn’t happen.

We are too busy. This is probably the most common thing that you hear when asked why it didn’t happen. This is often followed by “I know I should though” There is research in the field of documentation which suggests that this actually may not be a universal factor especially in a non-intensive care environment. An institutional survey in Ethiopia revealed some interesting findings in an attempt to answer this question. They looked at 415 respondents in the paper Health professionals’ routine practice documentation and its associated factors in a resource-limited setting: a cross-sectional study. Here is a summary of the findings.

Looking at the final column representing the adjusted odds ratios what you see is that at least in this institution workload did not statistically bear out as an issue. Training on how to document carried a strong risk with the presence of specific training on how to document carrying a fourfold impact on good documentation. Having a formal documentation sheet for those using paper and using an electronic medical record also increased the chances of regular documentation. One thing that stands out though is motivation. Feeling unmotivated decreased the chance of documentation. As we have come out of the pandemic news stories abound of physician burnout. I can’t help but think that the lack of motivation for many physicians which goes against their background fear of litigation stems from burnout.

In a separate Australian study A qualitative investigation into clinical documentation: why do clinicians document the way they do? health care providers were interviewed to determine where the barriers were. What follows are some quotes from physicians that shed light into why this phenomenon of poor documentation persists.

“The things that influence whether you can or not, are the busyness of the shift. And look, you know, we’ve all got days– whether we have good days where we document everybody, and when you get complaint, you start documenting everything
left, right and centre, but that wears off after two days because you can’t get your job done.”

“Flow pressures, I think, impact significantly … if there’s a drive to move patients on …that compromises the quality of
the notes.”

“I think putting it down helps you to make the decision about what to do better. I don’t know that I could make a
decision without that, but I guess it makes me more confident in that decision. It doesn’t mean I have to write everything down, it means I need to just think about the relevant points for the decision that I’m involved in making. I just think it makes youmore confident in the decision that you’re making.”

The first quote speaks to human nature. We know we should be documenting, and we know that failure to do so is risky but time heals all wounds. Our brains lose that sense of concern, and we move on to the next patient. The second addresses the realities of working in a busy practice. The needs of the system and hospital are to achieve good patient flow which allows more patients to be seen, shorter wait times etc but the risk to this is that it leaves physicians with little time to document the patient journey. Lastly, the final quote brings an important concept to the discussion. The simple act of documentation may lead to improved care. As you lay out your thoughts other ideas or differential diagnoses or treatment options may spring forth.

Solving the Issue

I don’t want to disappoint but I don’t have a one size fits all solution to this. Working in intensive care my whole career I can see the barriers in my own field but how this compares to an office-based practice as a family doctor or in a psychiatrists office I don’t know. I suspect we all have some barriers in common and others completely foreign to one another. Electronic medical health records may help to increase efficiency in documentation but there are papers out there suggesting in some cases they can also slow people down (especially if you aren’t that tech savvy).

One thing that I hope is motivating is the realization that especially in the newborn space, it may be years before you hear about a baby that did not do well after discharge. In Neonatology we rarely find out what happens in the long run to babies after they leave our units which leads to these infants being further and further away from our minds. Knowing this and I hope this is generalizable to all health care providers there is no time like the present to document your findings and management. One possible solution however if available to you is if your hospital provides an option for secure remote computer access to the electronic health record. Many of us have busy lives outside the hospital so staying the extra hour to catch up on documentation when the shift is over may not be possible. If you have the option to go home, have a cup of tea before falling asleep and jotting down some notes in the EMR from the comfort of your home that might be an option to consider. To not document an encounter at all is to do so at your peril!

Don’t Document Patient Encounters At Your Peril.

Keep your eye on the carbon dioxide level in your patient with HIE. It may matter a lot!

Hypoxic ischemic encephalopathy is a very scary condition for both families and health care providers.  In my career as a Neonatologist one of the greatest accomplishments has been the recognition that 72 hours of moderate hypothermia can make a big difference to the outcomes of such children.  In days gone by our best estimates of outcome relied on Sarnat staging of HIE.  

Since the cooling approach was adopted widely however I have relied more on a wait and see approach when advising families on what to expect.  On some occasions, is spite of cooling babies go on to develop significant cerebral palsy but in other cases babies who one would have predicted would have dismal outcomes have done quite well.  Our best estimates at the moment are that cooling for HIE reduces the risk of death or moderate to severe disability by about 25% with a confidence interval of 17 – 32% around that estimate.

Why would pCO2 matter?

Carbon dioxide has a role to play in outcome and has been the subject of several papers.  The theoretical point is that very low carbon dioxide levels lead to vasoconstriction of blood vessels.  When it comes to HIE one would be quite worried about vasoconstriction of blood vessels such as the carotids carrying oxygenated blood to an injured brain.  Once injured the brain is not going to tolerate further oxygen deprivation and in particular those areas that are teetering on the edge of survival could be tipped the wrong way if further hypoxia is experienced. 

Another reason why CO2 matters is due to something called the Bohr effect.  For those of you who are scratching your heads and recollecting this term from your training it has to do with the influence of pCO2 on hemoglobin oxygen saturation.   The relationship is represented by the following figure. 

In the presence of declining pCO2 there is a shift of the oxygen dissociation curve to the left.  This means for that as PCO2 declines more of the circulating oxygen will be bound to hemoglobin.  In most cases you want your hemoglobin to be great at carrying oxygen but when your tissues are starved of oxygen and injured that is not what you want.  You want a selfless hemoglobin molecule that is more than happy to release its oxygen to the tissue.  That is not what you get as pCO2 drops.

Why would pCO2 be low at all?

There are a few reasons for this.  The first is that many infants born after an asphyxial event have a metabolic acidosis.  Our bodies naturally like to maintain a normal pH.  In order to do so if your HCO3 in the blood is low you need to blow off CO2 to compensate.  The hypocarbia in this case is compensatory but the body in so doing could make matters worse for the brain.

The second reason has to do with both injured tissue and that which is cooled.  As metabolic rate decreases the amount of CO2 generated will drop.  If you remember the Krebs cycle (shudder) there is a fair bit of CO2 generated from aerobic (oxygen rich) metabolism. If this is reduced so to will the production of CO2.  As cooling serves to reduce metabolic rate so the CO2 production would be expected to decrease.

So does it really matter?

The reason for all this preamble is that a “mini-systematic review” has found the CO2 matters to outcome.  The review is entitled Hypocarbia is associated with adverse outcomes in hypoxic ischaemic encephalopathy (HIE) and included 9 studies on influence of pCO2 on outcome.  Before we look at the results it is important to acknowledge that all of the included studies were retrospective so methodology in each study is not standardized.  How one even defines severe hypocarbia varied from <20 mmHg to anything under 35 mm Hg.  The other issue is that each study looked at a different period of exposure from the effect of a couple hours to the effect over the first three days of life.  The included infants were all cooled so it gives us at least an idea of the effect in a modern cohort of cooled infants.

The summary of the results was that CO2 mattered.  As little as a couple hours of very low CO2 levels were found to be associated with adverse outcomes.

The problem of course is the chicken and the egg argument.  The most severe hypocarbia might be seen in those with the worst metabolic acidosis. As mentioned above the response to metabolic acidosis is to blow off CO2.  Therefore, the worse the metabolic acidosis the greater that respiratory drive.

Strategies to control the pCO2 of course exist.  In the presence of a critically low pCO2 one can intubate and control ventilation through sedation and paralysis.  This can lead to other issues though as if you normalize the pCO2 in the presence of a significant metabolic acidosis the pH is likely to take a nosedive.  The myocardium as it turns out doesn’t like low pH and in fact cardiac output in animal models begins to decrease the closer you get to a pH of 7 and becomes significantly worse as you go beyond that point.

At best then I think one can aim for converting severe hypocarbia to moderate until the HCO3 begins to recover.  Based on theoretical issues of oxygen delivery to tissues and cerebral vasoconstriction, notwithstanding the retrospective nature of this review it does make sense to me that there would be  a link between severe hypocarbia and outcome.  We will likely never see an RCT targeting normalization of pCO2 vs tolerance of hypocarbia in this population so for the purists out there that don’t like this type of retrospective analysis I suspect outside of an animal model this is as good as its going to get. 

Maybe avoiding anything with the word severe attached to it though is sensible when it comes to this population.

Newborn Brains After Hypoxia Don’t Like Hyponatremia

Newborn Brains After Hypoxia Don’t Like Hyponatremia

The newborn brain could be described as finicky at best. One of the most difficult things to treat are those things that we can’t see. When a baby is delivered and goes on to develop neurological manifestations, it remains a difficult puzzle to sort out as to what the cause is. Of course, we use all manner of technology to sort this out. The use of EEG, amplitude integrated EEG are helpful in this regard to give us a window into brain excitability but we use all manner of technology to sort this out. When it comes down to it, though we often rely on clinical signs to give us a best guess into whether or not hypoxic injury is at the root of the problem. This, of course, is not always easy as although we have criteria such as those written out by the Canadian paediatric Society to rely on, not all babies fit nicely into the box that provides an easy diagnosis.

For reference, these are the criteria that are recommended by the Canadian paediatric Society for determining who should receive therapeutic hypothermia.

In spite of these criteria, sometimes when babies have Apgar scores or cord blood gases that don’t meet criteria for therapeutic hypothermia, they may still go on to have a seizure. In some of these babies, it is likely that they still experienced a hypoxic injury at some point in time that they have recovered from. In these cases, having a super imposed, metabolic, derangement can tip the scales and cause an already excitable brain to manifest neurological manifestations.

The Brain Does Not Like Low Sodiums

One such abnormality that can tip the scales is a low serum sodium. Babies can develop such derangements from a hypoxic insult that leads to an acute kidney injury. The resultant damage leads to water retention from a poorly functioning, kidney and a dilutional effect on the bloodstream. This usually occurs over time and is not commonly present in the first few hours after birth. When this is seen though with sodium levels below 125 in the first few hours after birth, the likely cause is not renal injury. What is interesting about this phenomenon is that the etiology is most likely related to factors that occurred during labour.

Pregnancy its self has a tendency towards, maternal impairment of water excretion. There is a higher volume status in the pregnant woman and some degree of impairment of excretion of a water load. Maternal hyponatraemia has been described in situations of maternal water, intoxication or provision of excessive dilute fluids to the labouring mother. Add to this, that there is cross-reactivity between oxytocin and ADH receptors in the kidney, and you create a potential problem that a mother can become hyponatraemic simply from frequent administration of oxytocin or Syntocinon. It is possible therefore to have a mother in labour who receives an excessive amount of fluid whether by oral intake or IV and with oxytocin administration develop hyponatremia herself. What follows in terms of the fetus who is an innocent bystander is the eventual development of hyponatremia in utero. As the maternal sodium concentration declines this leads to a difference in maternal and fetal sodium levels. Water flows by osmosis to the fetus and begins to dilute out their blood and bring the sodium levels in line with maternal levels. What comes next can be troublesome to the fetus.

Resultant Seizures

Blake O et al published the paper Therapeutic hypothermia and outcome in hyponatraemic encephalopathy secondary to maternal water intoxication which describes this exact scenario in the setting of maternal water intoxication. The K-series describes three babies all whom developed seizures and had mild The case series describes three babies all whom developed seizures and had mild perinatal asphyxia yet went on to develop seizures. The laboratory results are shown below.

What is most remarkable from the table is the level of serum sodium in the newborns at 1 hour of age. Generally levels of sodium below 125 and certainly 120 can lead to neurological manifestations including seizures and these infants were certainly affected. Much like I explained at the outset of this piece children could be afflicted with a mild form of encephalopathy from hypoxia, and in these cases, each infant by 10 minutes of age had excellent Apgar scores. What I propose, though is that the brain after even a more mild degree of Perinatal asphyxia is more prone to neonatal seizures. I have to say over the years. I have often checked electrolytes after a baby presents with seizures and rarely are they sufficiently abnormal to explain the finding. What I am presenting to you. Here is a special circumstance, in which babies who might not otherwise have seizures, such as those with mild asphyxia go on to have significant convulsions due to the superimposed insult.

The goal of this post was to increase awareness of this phenomenon. Next time you are looking into the events leading up to seizures in a newborn, don’t forget to ask about what fluids a mother received during labour and specifically what her oral intake was like. Don’t forget to have a careful look as well at the amount of oxytocin she received during labour as the combination may be just enough to tip the scales and lied to Neonatal seizures in a baby, who otherwise would not have developed any of those manifestations! While you are at it, take the time to check a maternal sodium and if mother and baby match or at least are both hyponatremic to a similar level you likely have your answer as to what the ethology is.

A bigger question and one that we don’t have the answer to is whether in the presence of hyponatremia and mild asphyxia therapeutic hypothermia offers much benefit. Unfortunately this answer is going to be a tough one to come by as you can’t create an RCT since the numbers are so small but I suspect that most when in doubt will choose to get that temperature down!